新浦金350vip官方登录2024年硕士研究生复试结果公示(持续更新)

时间: 2024/04/04   作者:   点击:

各位考生:

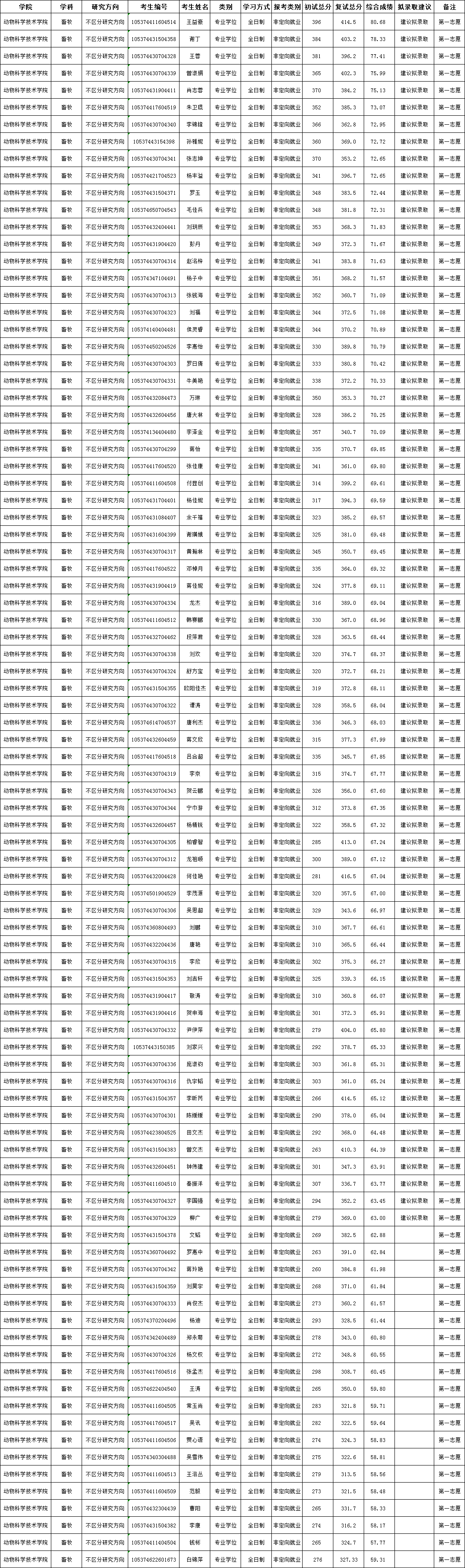
从即日起新浦金官网各学科复试成绩及综合成绩将持续公示(见附件),敬请各位考生关注!

如有异议,请联系各招生学科。

新浦金350vip官方登录

2024年4月4日

点击下载文件: